Overordnede analyseresultater

Her vises forskellige overordnede analyseresultater såsom spredning i udgifter per bolig og effektivitetsresultaterne for hele landet.

Denne graf viser årlige driftsudgifter per bolig på de konti der bruges til at beregne effektivitetstallene. (Konto 109, 110, 111, 112,1, 114, 115 og 117.h (som dækker 117, 121 og 122))

Grafen viser udgifterne i årene 2014 og 2024, og inkluderer regnskaber for de afdelinger i landet der primært har familieboliger. Den røde streg markerer udgiftsgennemsnittet, og de stiplede streger markerer hvilke afdelinger der medtages i udregning af effektivitetstal. De allerbilligste og de allerdyreste medtages ikke i effektivitetstals beregningerne.

Årets priser betyder, at tallene viser de faktiske udgifter i hvert af de to år, og udgifterne i 2024 er således ikke korrigeret for prisstigninger fra 2014 til 2024.

På den vandrette akse er vist driftsudgifter per bolig og på den lodrette ses antal afdelinger. Det ses, at der i begge år er stor forskel på, hvor mange penge der bliver brugt per bolig. Nogle afdelinger bruger omkring 8,000 kr. per bolig og nogle afdelinger bruger 30,000 kr. per bolig. Denne store forskel, sammen med markante stigninger i driftsudgifter, har været medvirkende til at der er et effektiviseringsfokus i sektoren.

Når man sammenligner resultaterne for 2014 og 2024 ser man, at i 2024 er der lidt flere afdelinger med meget høje udgifter per bolig. Figuren indeholder to underfigurer med hhv. spredningen i udgifter pr. bolig for afdelinger i 2014 og 2024. En lodret steg markerer gennemsnittet og to lodrette stiplede streger markerer 95 pct.-intervallet.

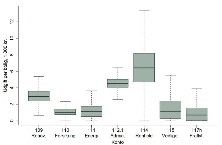
Denne graf viser udgifter per bolig på de syv benchmarkede konti. På den vandrette akse ses de forskellige konti, og på den lodrette ses udgifter per bolig på den givne konto.  

For hver konto viser grafen udgiftsspændet fra den billigste til den dyreste afdeling, hvor den billigste er nederst og den dyreste er øverst. For hver konto er der en firkant. Firkanten viser udgifterne for de 50 pct. midterste af afdelingerne. En stor firkant viser at der er stor forskel, en lille firkant at der er mindre forskel. Foruden firkanten er der også stiplede streger for hver konto. Disse streger markerer hvor de øvrige afdelingers udgifter ligger. Det ses, at på konto 114 (Renhold, den konto der primært dækker lønninger) er der afdelinger med udgifter på over 12,000 kr. per bolig og afdelinger med ingen udgifter. På konto 110 (forsikringer) er spredningen derimod mindre. Dette ses ved, at de stiplede linjer kun går mellem 0 og 2,000 kr., og at firkanten i midten er smal.

Generelt kan man se af grafen, at der for alle konti er afdelinger med høje og med lave udgifter, og at sektorens store udgiftsspredning derfor også ses på kontoniveau.

Figuren er et boksplot, som viser udgiftsspredningen på de syv benchmarkede konti.

Denne graf viser effektivitetsresultater for alle landets afdelinger.

På den vandrette akse ses effektivitetsresultatet og på den lodrette ses antal boliger. Effektivitetsresultaterne rangerer fra 0 til 100, hvor 0 er det laveste og 100 det højeste. Resultaterne er inddelt i farvegrupper:

  • Rød indikerer effektivitetsresultat på 0-70 pct. Tilhører ens afdeling denne gruppe er ens effektivitetsresultat blandt sektorens laveste.
  • Gul indikerer effektivitetsresultat på 70-90 pct.
  • Grøn indikerer effektivitetsresultat på 90-100 pct. Tilhører ens afdeling denne gruppe er ens effektivitetsresultat blandt sektorens højeste.

Den lodrette streg viser gennemsnitlig effektivitet for hele landet.

Overordnet viser grafen, at der er stor forskel på effektivitetsresultaterne for landets afdelinger. Dette stemmer overens med den store udgiftsforskel der er blandt sektorens afdelinger. Grafen viser ydermere, at hovedparten af afdelingerne ligger i den gule midtergruppe, og derfor har effektiviseringspotentiale på alle konti på mellem 10 og 30 pct. sammenholdt med bedste praksis.

Søjlediagram, som viser fordelingen af afdelinger der er hhv. røde, gule og grønne. En stiplet streg markerer den gennemsnitlige effektivitet.

I nedenstående graf sammenlignes resultaterne fra 2024 med effektivitetsspredningen i 2014. Grafen viser, at fra 2014 til 2024 er den gennemsnitlige effektivitet for hele landet steget stort set uændret. Dog er der ikke længere nogle afdelinger, hvis effektivitet er under 40 pct. Feltet er dermed blevet mere samlet, og den mindst effektive del af sektoren, er blevet mere effektiv.

Bemærk at figuren alene illustrerer spredningen indenfor effektivitetsresultater, men ikke siger noget om sektorens niveau for effektivitet. Dette skyldes, at effektivitetstallene beregnes ved en model som er relativ. Bedste praksis er ikke et absolut niveau, men er derimod det til enhver tid gældende niveau i sektoren. En afdeling måles hele tiden op i mod de af sammenlignelige afdelinger, der klarer sig bedst. Det vil sige, at når de bedste bliver mere effektive, så kræver det mere at beholde sin effektivitetsposition. I takt med at sektoren som helhed bliver mere effektiv, vil niveauet derfor også ændres. Grænsen for, hvornår man er effektiv, bliver så at sige løftet løbende. At en afdeling er "gul" både i 2014 og 2021, er derfor ikke ensbetydende med, at den ikke har effektiviseret, men snarere at den ikke har effektiviseret nok til at indhente sine forbilleder

To histogrammer viser fordelingen i afdelinger, der er hhv. røde, gule og grønne i 2014 og 2024.
For at se hvordan sektorens effektivitetsniveau har udviklet sig henvises til sektorens samlede effektivitetsresultat.

Læs mere om sektorens effektiviseringsresultat her

 

 

 

 

Denne graf viser effektivitetsspredningen for store organisationer (markeret med lysegrøn) og administrationsorganisationer (markeret med mørkegrøn), og illustrerer at der også indenfor denne gruppe er stor forskel på, hvor mange penge der bliver brugt per lejemål.

Effektivitetstallene er fortsat udregnet på afdelingsniveau, og hver af organisationerne/administrationsorganisationerne er repræsenteret ved en vandret linje.

For hver organisation/administrationsorganisatoin viser grafen effektivitetsspredningen fra den mindst til den mest effektive afdeling.

De grønne firkantede bokse viser effektivitet for de 50 pct. midterste af organisationens/administrationsorganisationens afdelinger.

De sorte streger i midten af boksene viser det gennemsnitlige effektivitetsniveau.

De stiplede vandrette streger ud fra boksene, viser de øvrige afdelingers effektivitetsniveau.

Diagram over effektivitetsfordelingen blandt afdelinger i de store boligorganisationer.

 

Denne figur viser afdelingsstørrelse og afdelingseffektivitet. Figuren illustrerer, at blandt landet mest effektive afdelinger er både små og store afdelinger, men at landets mindst effektive afdelinger typisk er små.

På grafens vandrette akse er angivet afdelings størrelse, og på grafens lodrette akse er angivet effektivitet. Hver afdeling er markeret med en cirkel.

Det ses, at den almene sektor er domineret af små afdelinger, og at inden for denne gruppe findes både meget effektive og meget lidt effektive afdelinger. Det ses også, at ingen af de store og mellemstore afdelinger har meget lav effektivitet.  

Scatter plot med antal boliger i afdelingen opå x-aksen og effektiviteten i pct. på y-aksen.

 

Nedenstående figur viser effektivitetsresultater for forskellige typer af afdelinger; familieboliger, ungdomsboliger og ældreboliger. 

Hver type af afdelinger har sin egen graf. For alle grafer gælder, at effektivitet er markeret på den vandrette akse og antal afdelinger på den lodrette.

Det ses, at for alle typer af afdelinger findes der både røde, gule og grønne afdelinger og dermed et stort effektivitetsspænd. Det ses også, at den gennemsnitlige effektivitet er lavere blandt ældreboliger, hvor vi også kan observere flere røde afdelinger. Dette kan skyldes, at nogle ældreboliger har forhold, der naturligt øger udgifterne, som f.eks. demensboliger.

Det skal bemærkes, at når effektivitetstallene udregnes, så sammenlignes afdelinger med familieboliger med andre afdelinger med familieboliger, afdelinger med ungdomsboliger med andre afdelinger med ungdomsboliger, og afdelinger med ældreboliger med andre afdelinger med ældreboliger. 

Afdelinger med familieboliger sammenlignes med tilsvarende afdelinger i regionen, hvorimod afdelinger med hhv. ungdoms og ældreboliger sammenlignes med tilsvarende afdelinger i hele landet. Derved øges sammenligningsgrundlaget for ungdom og ældrebolig afdelinger, og effektivitetsresultaterne bliver dermed mere robuste.

Tre søjlediagrammer viser fordelingen af røde, gule og grønne boliger for hhv. familie-, ungdoms- og ældreboliger.